Videoverarbeitung der Angiographie-Videos

Den Patienten wurde jeweils der Fluoreszenzfarbstoff Indocyaningrün in die Vene injiziert. Mit einem Angiographen wurde dann mittels Laserscan das An- bzw. Abfluten dieses Farbstoffes in der Netzhaut gefilmt.

Video
Vergleich der Videos

Originalfilm
Auf der linken Seite sieht man, dass die Aufnahme aufgrund von Augenbewegungen hin- und herspringt.
bewegungskorrigiert
Im mittleren Teil wurde diese Bewegung zwischen den einzelnen Bildern von dem Aufnahmegerät korrigiert, indem die Einzelbilder jeweils so verschoben wurden, dass sie möglichst gut zueinander ausgerichtet wurden. Durch diese Verschiebungen entstehen die schwarzen Balken am Rand. Bewegungen innerhalb der Aufnahme eines Bildes bzw. unterschiedliche Ausleuchtungssituationen aufgrund der Augenbewegungen, aber auch Blinzelbewegungen sorgen dafür, dass die Aufnahme weiterhin unruhig wirkt.
gefittet
Auf der rechten Seite sieht man den Film, in dem die Information für jeden Pixel auf jeweils vier Parameter reduziert wurde, um dann daraus wieder eine filmische Darstellung zurückzurechnen. Damit wird das Bild sehr ruhig. Abgesehen davon sieht man die große Ähnlichkeit des mittleren und rechten Films – die wesentliche Information ist also in diesen vier Parametern pro Pixel enthalten.

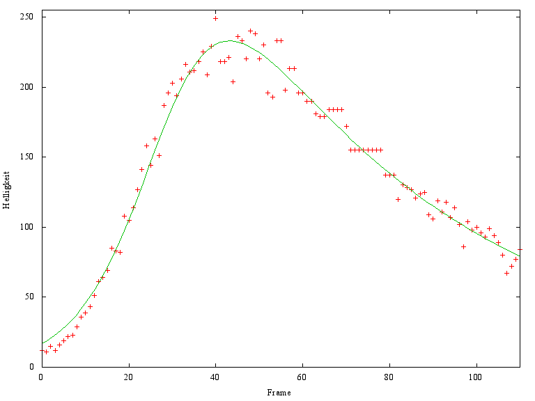
Das folgende Diagramm zeigt, wie der Helligkeitsverlauf eines einzelnen Pixels durch eine Kurve gefittet wird, die durch vier Parameter beschrieben wird:

gefittete Kurve

zurück